H30公立前期共通問題 数学

前期数学共通問題の詳解です。

解説の図面が手書きで見難くて申し訳ありません。

各大問ごとにPDFファイルがあります。

全問まとめたPDFファイルはこちらです。

 

問題は京都新聞社のサイトからご覧ください。

ダウンロード
H30前期選抜数学全問解説
大問1から大問6まですべてまとめたファイルです。
H30前期選抜_数学解説.pdf
PDFファイル 26.3 MB


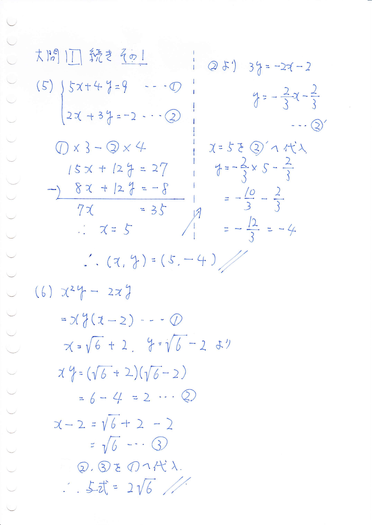
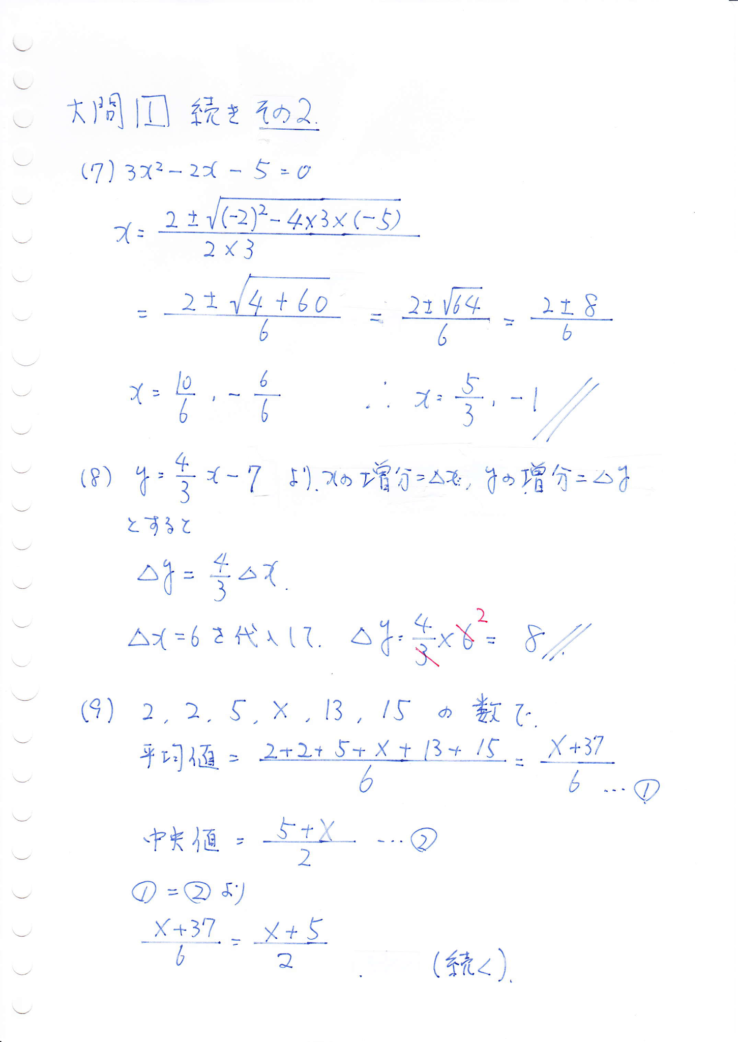
大問1

(1)から(5)は基本的な計算問題です。丁寧に計算してください。(6)は因数分解して式を簡単にしてから代入します。(7)は二次方程式の解の公式を使います。(8)は一次関数の変化の割合と、x,yの変化量の関係を思い出してください。(9)は、資料の個数が偶数の時のメジアン(中央値)が真ん中の2つの数の平均になる事を使って方程式を作ります。

ダウンロード
大問1解答
大問1の解答解説です。
H30前期数学_大問1.pdf
PDFファイル 4.5 MB


大問2

(1)は二次関数の基本問題。(2)はひし型の性質をを使って、BとCの座標を決めて、y=ax+b にX,Y座標を代入して а,b を求めます。(3)は△АBCの面積から線分BCの内分点としてDの座標を求めます。

大問3

(1)は袋Bのそれぞれのカードに対して、取り得る袋Аのカードを数えます。(2)は素因数分解を使って考えます。取り出したカードの3つの数の積のを素因数分解した時に2が3つ以上含まれる場合の数を数え上げます。

ダウンロード
大問2と3解答解説
大問2と大問3の解答解説です。
H30前期数学_大問2と3.pdf
PDFファイル 5.0 MB


大問4

(1)は基本的な三角形の相似の証明問題です。直径に対する円周角が直角である事を使います。(2)は、△FMA≡△DMEが答え。証明は求められていませんが書いておきました。DM=FMを使ってFMを求めます。△ACMが直角三角形なので線分ACが求まり、次に直角三角形△CDM、△CDAを使って方程式を立てて求めるのが簡単です。(3)は△MGB≡△MEAである事と(2)で求めたDMの長さから△MGBの高さを求めます。

ダウンロード
大問4解答解説
大問4の解答と解説です。
H30前期数学_大問4.pdf
PDFファイル 5.7 MB


大問5

(1)は三平方の定理を使えば簡単に計算できます。(2)は今回の一番難しい問題です。三角錐O-PBQが三角錐O-ABDに含まれることに気付かないと解けないでしょう。この二つの三角錐の底面がそれぞれ△OPQ、△OABと考えると高さが共通の三角錐になるので、底面の面積比を使ってO-PBQの体積を求めます。(3)は三角錐O-ABCDの正面図を使って解きます。

ダウンロード
大問5解答解説
大問5の解答と解説です。
H30前期数学_大問5.pdf
PDFファイル 5.7 MB


大問6

AからDの4つの箱を2セット横に並べ、それぞれに上中下の場所を割り振った表を使って考えます。1から23までの球を1回並べるたびに、1の球が入る場所が一つづつずれるので、問題に与えられた入り方をするまでに何個の球を置いたか、一箱に3個入るので球の数を3で割ると箱の数が出ます。割り算の余りからA〜Dのどの箱か分かります。必要な箱の数は、余りが0でない時は商に1加えます。

ダウンロード
大問6解答解説
大問6の解答と解説です。
H30前期数学_大問6.pdf
PDFファイル 5.4 MB


Dr.竹中英数塾

〒617-0823

長岡京市長岡2丁目3-23

アーネストビルD棟2F

  • 阪急京都線長岡天神駅 徒歩8分
  • 西友長岡店 すぐ向かい

☎ 075-959-1333

E-mail: dr-takenaka@fol.hi-ho.ne.jp

(授業中は折り返しのお電話になることがございます。メールでのお問い合わせも、よろこんでお答えします。)