H30公立中期選抜問題 数学

中期選抜数学の詳解です。

解説の図面が手書きで見難くて申し訳ありません。

各大問ごとにPDFファイルがあります。

全問まとめたPDFファイルはこちらです。

 

問題は京都新聞社のサイトからご覧ください。

ダウンロード
H30中期選抜数学全問解説
大問1から大問6まですべてまとめたファイルです。
H30中期選抜_数学解説.pdf
PDFファイル 19.1 MB


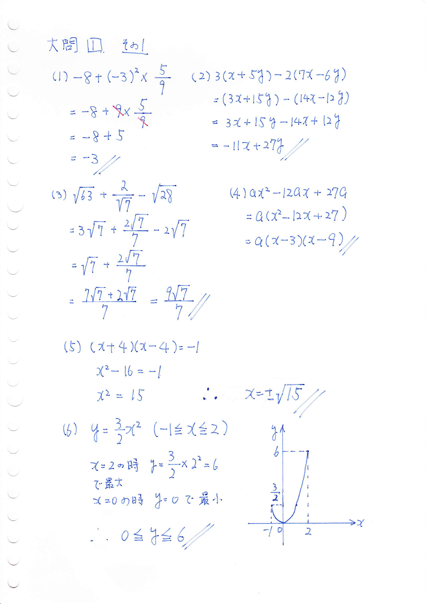
大問1

(1)から(5)は基本的な計算問題です。丁寧に計算してください。(6)はxの変域に原点が含まれることに注意。(7)は相対度数の意味を思い出して下さい。(8)は△ABCが二等辺三角形になる事と、円周角と中心角の関係を使います。

ダウンロード
大問1解答
大問1の解答解説です。
H30中期選抜_大問1.pdf
PDFファイル 3.0 MB


大問2

(1)は展開図に各頂点を加えてといて下さい。見取り図と展開図の左右が反転していることに注意。(2)△ABC,△ABF,△CBFの何れかを底面として、その面に垂直な辺を高さとして体積を計算します。

大問3

1回目に取り出した玉を箱に戻して2回目の玉を取り出すので、取り出し方の総数は、5 × 5 = 25 です。

(1)取り出した数 (a,b) が y=x 上にあるので、a=b、つまり、1回目と2回目が同じである取り出し方を数えます。

(2)三平方の定理を使って考えます。2乗の和が5となる整数の組み合わせ(a,b)を数えます。

ダウンロード
大問2と3解答解説
大問2と大問3の解答解説です。
H30中期選抜_大問2と3.pdf
PDFファイル 3.6 MB


大問4

(1)は1次関数の基本です。y = ax + b と置くと、aは花子さんが歩く速さを求めてマイナスにし、bは家から図書館までの距離になります。(2)は先ず弟の走る速さを求めて、弟の家からの距離を表す1次関数を求めます。そして、(1)の花子さんの1次関数との交点を求めます。(3)は、(1)の花子さんの直線の式と、(2)で求めた弟の公園→家の直線の式を用います。花子さんがT分にバス停を通過したとすると、弟はT+1分にバス停を通過する事を用いて方程式を立てて下さい。

ダウンロード
大問4解答解説
大問4の解答と解説です。
H30中期選抜_大問4.pdf
PDFファイル 4.9 MB


大問5

(1)の前半はは三平方の定理基本問題です。後半は△CAEに中点連結定理を適用してGHを求めて、△FEBと△FHGの相似比を求めます。

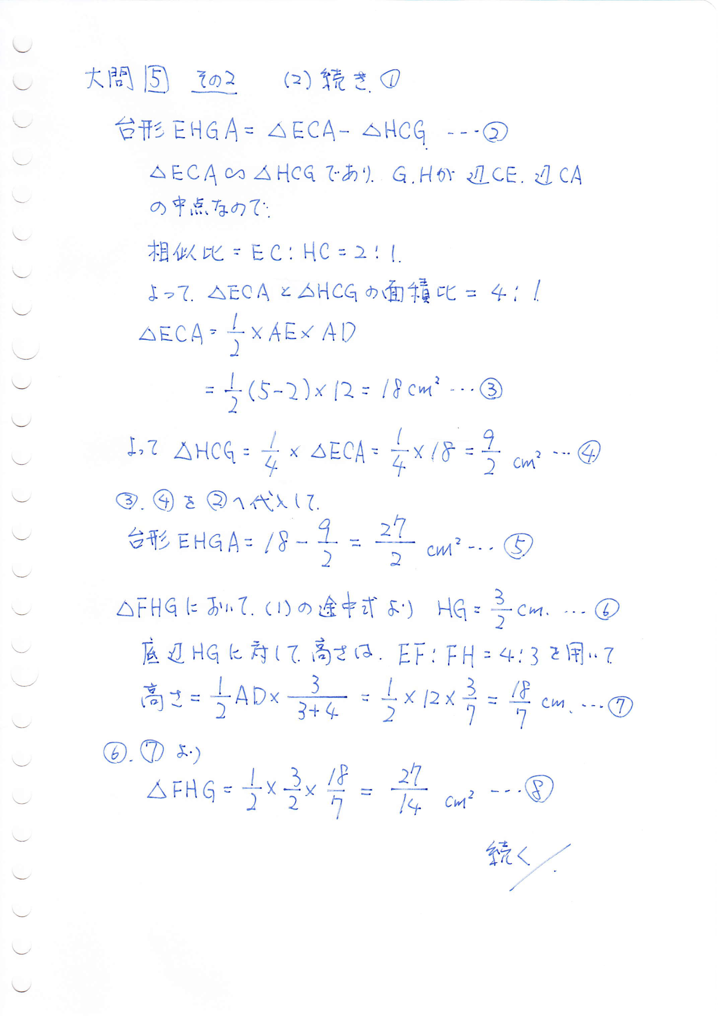
(2)四角形EFGI = 台形EHGA - △FHG - △IAE、として面積を求めます。台形EHGA = △ECA - △HCGとして求めました。

さらに、△FEB∽△FHGと△IAE∽△ICDを用いて、△FHGと△IAEを求めて計算します。

ダウンロード
大問5解答解説
大問5の解答と解説です。
H30中期選抜_大問5.pdf
PDFファイル 4.8 MB


大問6

1段n列の数字を考えると分かりやすいです。nが偶数か奇数かで場合分けして考えます。

(1)は36まで実際に書いて求めても構いません。

(2)はn段n列は、nが偶数奇数に関わらず同じ式になります。

(3)は1段92列の数が簡単に求まるので、それに87を加ます。

ダウンロード
大問6解答解説
大問6の解答と解説です。
H30中期選抜_大問6.pdf
PDFファイル 2.7 MB


Dr.竹中英数塾

〒617-0823

長岡京市長岡2丁目3-23

アーネストビルD棟2F

  • 阪急京都線長岡天神駅 徒歩8分
  • 西友長岡店 すぐ向かい

☎ 075-959-1333

E-mail: dr-takenaka@fol.hi-ho.ne.jp

(授業中は折り返しのお電話になることがございます。メールでのお問い合わせも、よろこんでお答えします。)